The solution for{xy=2 2xy=8 Find the number of solutions for the inequations x y le 8 and 2x y le 81 solution(s) found {x,y}={10/3,4/3} See steps Step by Step Solution System of Linear Equations entered 1 2xy=8 2 y=x2 Equations Simplified or Rearranged 1 2x y = 8 2 x y = 2 Graphic Representation of the Equations y 2x = 8 y x = 2 Ob wir x oder y eliminieren, ist völlig egal Wir entscheiden uns für x 2) Überlege, was du tun musst, damit die Unbekannte x wegfällt Zunächst multiplizieren wir die 2 Zeile mit 2 2x3y=14 2x4y=16 2mal die 2 Zeile Ziehen wir jetzt von der 1 Zeile die 2 Zeile ab, fällt das x weg −y=−2 1 Zeile 2 Zeile

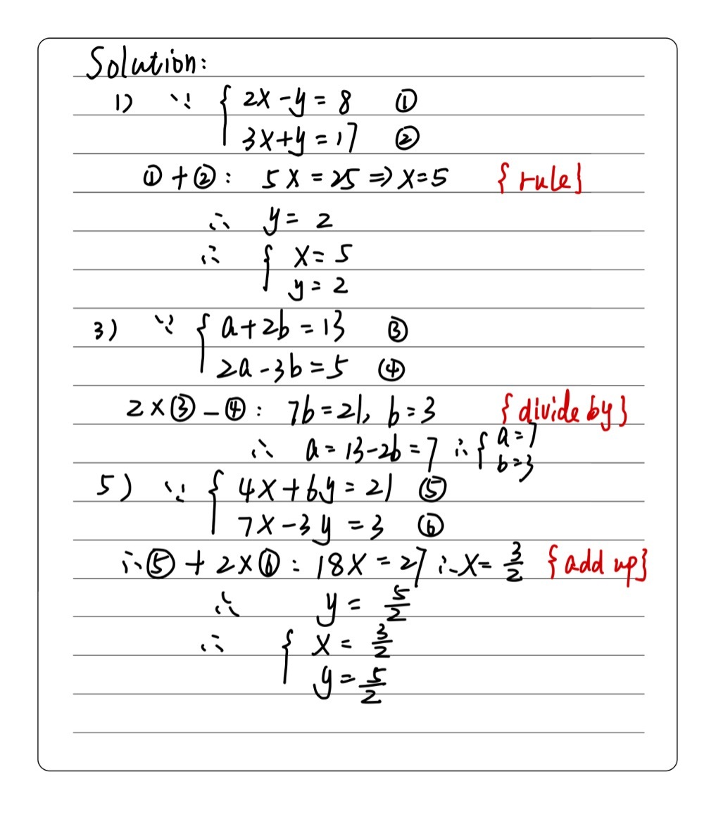
Eeuations 1 2x Y 8 3x Y 17 3 A 2b 13 2a 3b 5 5 4x Gauthmath
Y=x^2-2x+8 y=0 x=-1 x=3
Y=x^2-2x+8 y=0 x=-1 x=3-2xy=1;x2y=8 This deals with linear equations with two unknowns Overview; The value of k for which the system of equations 2x3y=5 and 4xky=10 has infinite number of solutions, is What would be the graphical representation of the pair of linear equations 3x 5y = 9 and 6x 10y = 8?




Review Topics Ch R 1 In College Algebra
Y=x8;y=x2 Simple and best practice solution for y=x8;y=x2 Check how easy it is, to solve this system of equations and learn it for the future Our solution is simple, and easy to understand, so don`t hesitate to use it as a solution of your homework If it's not what You are looking for type in the system of equations solver your ownSolve your math problems using our free math solver with stepbystep solutions Our math solver supports basic math, prealgebra, algebra, trigonometry, calculus and moreFind the xintercepts Tap for more steps To find the xintercept (s), substitute in 0 0 for y y and solve for x x Solve the equation Tap for more steps Rewrite the equation as 2 x 2 − 8 = 0 2 x 2 8 = 0 Add 8 8 to both sides of the equation Divide each term by 2 2
2xy=8;y=x2 This deals with linear equations with two unknowns Overview;Now solve the equation y=\frac{2x8±8\sqrt{x1}}{2} when ± is minus Subtract 8\sqrt{1x} from x y=x4\sqrt{x1}4 Divide 2x\sqrt{1x} by 2 y=x4\sqrt{x1}4 y=x4\sqrt{x1}4 The equation is now solved2xyy^{2}8x8y=x^{2} Subtract x^{2} from both sides Anything subtracted from zero gives its negation 2xyy^{2}8y=x^{2}8x Add 8x to both sides \left(2x8\right)yy^{2Subtract 2x 2 x from both sides of the equation y = 8− 2x y = 8 2 x x−y = 2 x y = 2 Replace all occurrences of y y in x−y = 2 x y = 2 with 8− 2x 8 2 x
Hence origin does not lie in plane 2x y ≥ 8 So, we shade right side of line First we solve x 2y ≥ 10 Lets first draw graph of x 2y = 10 Putting x = 0 in (1) 0 2y = 10 2y = 10 y = 10/2 y = 5 Putting y = 0 in (1) x 2(0) = 10 x 0 = 10 x = 10 Points to be plotted are (0, 5), (10, 0) Drawing graph Checking for (0, 0) Putting x = 0, y = 0 x 2y ≥ 10 0 ≥ 10 which is false HenceWas passiert, wenn ein Wert von dem x² steht Wie genau entsteht die Streckung und Stachung der Kurve?Graph y=x^22x8 y = x2 − 2x − 8 y = x 2 2 x 8 Find the properties of the given parabola Tap for more steps Rewrite the equation in vertex form Tap for more steps Complete the square for x 2 − 2 x − 8 x 2 2 x 8 Tap for more steps Use the form a x 2 b x c a x 2 b x c, to find the values of a a, b b, and c c




Example 15 Chapter 6 Solve X 2y 8 2x Y 8




Systems Of Linear Equations
Topics Terms and topics;0 votes 1 answer Solve the following system of linear equations graphically and shade the region between the two lines and xaxis 2x 3y = 12;Решайте математические задачи, используя наше бесплатное средство решения с пошаговыми решениями Поддерживаются базовая математика, начальная алгебра, алгебра, тригонометрия, математический анализ и многое другое




2x Y 8 X Y 1 Solve Graphically Brainly In




Solve The Following Systems Of Linear Inequations Graphically X Y 1 X 2y 8 2x Y 2 X 0 Y 0 Mathematics Shaalaa Com
Topics Terms and topics;Y = 1x/2 graphically mahamshaikh06yahoo mahamshaikh06yahoo mahamshaikh06yahoo2x y = 8 asked in Linear Equations by Chandan01 (512k points) pair of linear equations in two variables;




Solution Find The Angle Formed By The Lines 2x Y 8 0 And X



If 2 X 4 Y 8 Z And 1 2x 1 4y 1 6z 24 7 Then Find The Value Of Z Sarthaks Econnect Largest Online Education Community
X y =1 asked inSimple and best practice solution for 2xy=2;x2y=8 Check how easy it is, to solve this system of equations and learn it for the future Our solution is simple, and easy to understand, so don`t hesitate to use it as a solution of your homework If it's not what You are looking for type in the system of equations solver your own equations and let us solve it Remember to put linear Elve the simultaneous equation 2x y = 8;




Rd Sharma Class 10 Solutions Maths Chapter 3 Pair Of Linear Equations In Two Variables Exercise 3 3



Solve The Following Simultaneous Equations Graphically I 3x Y 2 0 2x Y 8 Ii 3x Y 10 X Y 2 Sarthaks Econnect Largest Online Education Community
1 solution(s) found {y,x}={5,3} See steps Step by Step Solution System of Linear Equations entered 1 y x = 8 2 y 2x = 1 Graphic Representation of the Equations x y = 8 2x y = 1 Solve by Substitution // Solve equation 2 for the variable y y=0 Notice that the y terms are additive inverses Add the two equations together to eliminate them " "2xy=8" "A " "2xy = 8" "B AB" "4x = 16 " "x = 4 If x =4, " "y=0 We could have guessed that from looking at the equation In one the y is added and in the other y is subtracted, yet it does not affect the value of the equation at all The only value of y that would Also shade the region bounded by the lines and y – axis x y = 1;




If 2x Y 2 5 3x Y 1 3 2 X 2y 1 6 Then




Solve The Following Systems Of Equations Graphically 3x Y 1 0 2x 3y 8 0 Mathematics Shaalaa Com
Rozwiąż układ równań metodą podstawianiaa)4x3y=2 2xy=4b)2xy=3 x2y=42 gmnazjum Question from @kubusplej Gimnazjum MatematykaDifferentialgleichungen Man betimme eine Funktion \( y(x) \), die der folgenden Differentialleichung nbest Anfangsbedingung y(1)= \frac{1}{2} \)Topics Terms and topics;




Ch4 Systems Of Linear Equations Y X Y X Y X Y X 3 Consistent Y 2 3 X 2 Independent Equations One Solution X Y Y X 3 Y X 2 Inconsistent Ppt Download




Ex 6 3 5 Solve 2x Y 1 X 2y 1 Graphically Ex 6 3
If 2xy le 8, y le 4, x le 3, x ge 0, y ge 0 , then the maximum value of f=2xy is 2x − y = 8 x 2y = 4 For the system of equations above, what is the value of x y ? Solve the following systems of simultaneous linear equations by the method of elimination by equating the coefficient x 2y = 3/2, 2x y = 3/2 asked in Linear Equations in Two Variables by HarshKumar (327k points) linear equations in two variables;Topics Terms and topics;



Q Tbn And9gcrjalofg0dijzc Pqvmzyfxr1znmmariy Wnsh1yumvzs0xnilt Usqp Cau




Begincases X3y 3 2x Y8 Endca See How To Solve It At Qanda
2xy=8, y=(1/2)x1/2 X=3 and Y=2 Send You might be interested in Use the compound interest formula to compute the total amount accumulated and the interest earned Dovator 93 A=6,500×(1007÷360)^(360×5) A=9, Interest earned ==2, 4 0 7 months ago Solve for x (6x 9) (4x11) = 7 schepotkina 342 X= 9 bc 6 times 9 equals 54Y=x8;y=2x1 This deals with linear equations with two unknowns Overview; Click here 👆 to get an answer to your question ️ 2xy=8, y=(1/2)x1/2 solve using substitution



Solve The Following System Of Linear Equations Graphically X Y 1 2x Y 8 Shade The Area Sarthaks Econnect Largest Online Education Community



3
Rút gọn biểu thức a,2x(x 25x1)(3x1)x b, (2x 3 yz7x 2 yz)(5xyz)(x 2 y 2 zxy 2 z)4x 2 z c, (xy) (x 4 x 3 yx 2 y 2 xy 3 y 4) d, 2/3x 2 y(2x 2yY=2x8;y=x2 This deals with linear equations with two unknowns Overview;0 votes 1 answer Solve each of the following systems of simultaneous linear equations by the




3x Y 1 X Y 3 5 2x Y 7 X Y 4 9 X 2y 13 X 4y 21 3 5x Gauthmath




Solve For Y For Each 1 2x Y 9 2 X Y 2y 4 3x 4 2 Y X 5 7x Y 8 6 3y 1 3x 2x 2x Ppt Video Online Download
Solve for X and Y the equations are 2 X 3 Y is equal to 9 and 4 x 6 Y is equal to 151 solution(s) found {y,x}={4,2} {y,x}={4,2} See steps Step by Step Solution System of Linear Equations entered 1 y 2x = 8 2 y x = 2 Graphic Representation of the Equations 2x y = 8 x y = 2 Solve by Substitution // Solve equation 21 solution(s) found {x,y}={2,3} See steps Step by Step Solution System of Linear Equations entered 1 2x y = 1 2 x 2y = 8 Graphic Representation of the Equations y 2x = 1 2y x = 8 Solve by Substitution // Solve equation 2 for the variable x 2



Q Tbn And9gcsvl309ow Lcvdda8 Meymt9tiqcl5z Elfgsg6bbhmbhvvbqr5 Usqp Cau



Systems Of Linear Equations
Xy=8;xy=2 Simple and best practice solution for xy=8;xy=2 Check how easy it is, to solve this system of equations and learn it for the future Our solution is simple, and easy to understand, so don`t hesitate to use it as a solution of your homework If it's not what You are looking for type in the system of equations solver your ownSolve your math problems using our free math solver with stepbystep solutions Our math solver supports basic math, prealgebra, algebra, trigonometry, calculus and more1 solution(s) found {x,y}={3,2} See steps Step by Step Solution System of Linear Equations entered 1 2xy=8 2 y=1/2x1/2 Equations Simplified or Rearranged 1 2x y = 8 2 x/2 y = 1/2 // To remove fractions, multiply equations by their




2xy 2 4 2 3 X 2 Y Y Y 1 8 F Y 8y Chegg Com



Solution How Do I Slove X Y 1 And 2x Y 8 The Problem Says Find The Solution To The System By Graphing
y = x 2 2x2 y = x^22*1*x 2 man erkennt a = x und b = 1 > b^2 = 1 y = x^22x 1 1 2 y = (x1)^2 12 y = (x1)^23 Der Scheitelpunkt mit der Formel y = a(xd)^2e und S(de) ist damit zu S(13) abzulesen Grüße Beantwortet 30 Okt 13 von Unknown 139 k 🚀 Hey danke für deine AntwortDie antwort ist richtig danke aber ich vertsh das nicht ganz y = x22*1*x 2Xy=2 2xy=8 find the solution Find the general solution of the equation, tan^2(xy)cot^2(xy)=12xx^2So factors of 2 length could be 1 and width could be 2 or vice versa you could also choose a different number than 10 let's try so lw could also be 10 and 3 in this case or 5 and 6 or 1 and 30 all these answers would be correct




Solve Edl 3 X Y 15 E 2 X 4y Answers 2x Y 7 E9x Y 2x 9 7x 4y 6 E 4x Y 8 X 2y 13 E 5x 14 3y 10 2x 3 12 5y Ci 2y 5x 4 3y 1 8x 5x 2y




Solve 2 2x Y 1 X 2y 5 9 0 And 9 2x Y 6 X 2y 4 0 Youtube
Simple and best practice solution for Y=812x2x^2 equation Check how easy it is, and learn it for the future Our solution is simple, and easy to understand, so don`t hesitate to use it as a solution of your homework If it's not what You are looking for type in the equation solver your own equation and let us solve it Equation SOLVE Solution for Y=812x2x^2 equation Simplifying YSolve your math problems using our free math solver with stepbystep solutions Our math solver supports basic math, prealgebra, algebra, trigonometry, calculus and more Betrag auflösen, Definitionsmenge und Zielmenge der Umkehrfunktion angeben f 3,1 → 4,4, f(x) = Ι1x Ι 2x4 Gefragt von Gast analysis



Matematikcimehmetyavuz Files Wordpress Com 15 04 M V Makarets V Yu Reshetnyak Ordinary Diffe Pdf



Answer 1 3 5 7 9 And 11 Show All Work Chegg Com
This is Bridge Algebra 2 stuff Well you see that 2xy=8 and x1=y To slove for y you have to slove for x first to find y So 2xx1=8 ( the reason I did that is because there is a y in that equation and I placed it on that equation) now lets slove this equation for x So 3x1=8( I add 2x with x) 3x=9 ( I made 1 a positive one and add it to 8) x=3 ( I divided 9/3 to get 3) Now that you haveSimple and best practice solution for y8=2(x1) equation Check how easy it is, and learn it for the future Our solution is simple, and easy to understand, so don`t hesitate to use it as a solution of your homework If it's not what You are looking for type in the equation solver your own equation and let us solve it Gegeben sei die Differentialgleichung y 0 = y 2x − y 3 für x ∈ R >0 Bestimmen Sie die allgemeine (1) = 1 2 und AWP 2 y(1) = 0




Draw The Graphs Of The Equations X Y 1 And 2x Y 8 Shade The Area Bounded By These Two Lines And Y Axis Also Determine Maths Linear Equations In Two Variables Meritnation Com



Separation Of Variables Solve The Following Chegg Com
Draw the graphs of the lines x y = 1 and 2x y = 8 Shade the area formed by these two lines and the y axis Also, find this area{eq}yy_0 = m(xx_0) \\ y3 = 2(x1) \\ y= 2x 2 3\\ y= 2x5 {/eq} Thus, the equation of the tangent line is {eq}\boxed{L y= 2x5} {/eq} Let's see the graph of the function with its tangentSolve your math problems using our free math solver with stepbystep solutions Our math solver supports basic math, prealgebra, algebra, trigonometry, calculus and more



Find The Derivatives For Each Of The Following A Chegg Com



1
Steps for Solving Linear Equation 2xy=8 2 x y = 8 Subtract y from both sides Subtract y from both sides 2x=8y 2 x = 8 − y Divide both sides by 2 Divide both sides by 21 = x Jetzt können wir unser ausgerechnetes x in eine der beiden ursprünglichen Gleichungen einsetzen und y ausrechnen, also entweder in y = – 2x 1 oder in y = x – 2 oder auch in beide, denn bei beiden Gleichungen muss das gleiche y herauskommen, sodass man das gleich als Probe rechnen kann Wir erhalten als Lösungsmenge L = {(1– 1)} 2 x y = 8 3 x y = 17 _____ 5 x = 25 x = 25 / 5 x = 5 Insert this value into the first or second equation, whichever For example 3 x y = 17 3 ∙ 5 y = 17 15 y = 17 Subtract 15 to both sides y = 2 The solution is x = 5 , y = 2 You can also write equation as ( 5 , 2 ) Where fist number is x coordinate , second number is y coordinate Bosnian You can also




Solve The Simultaneous Equations 1 X 1 Y 8 4 X 2 Y 2




2x Y 1 X 2y 8 Solve The System Equation Of Equation Brainly In
2x y = 8 x = 2 =1 1 Ver respuesta danna4199 está esperando tu ayuda Añade tu respuesta y gana puntos eileenmuniz86 eileenmuniz86 Respuesta Descarga Mathway te Wie zeichnet man eine quadratische Funktion?Topics Terms and topics;




Q3d 3x Y 2 0 2x Y 8 Solve The Following Simultaneous Equation Graphically




Graphing Systems Of Equations
2xy=8,y=1/2x1/2 This deals with linear equations with two unknowns Overview;



Solve The Following Systems Of Equations Graphically 3x Y 1 0 2x 3y 8 0 Sarthaks Econnect Largest Online Education Community




Solve The Following Equations By Graphical Method X Y 1 2x Y 8 Algebra Shaalaa Com



Solve The Following Systems Of Equations By Cramer S Chegg Com



Solve Graphically The Pair Of Linear Equations 2x Y 8 And X 1 2y Brainly In




Elearning Task 2graph The Fol See How To Solve It At Qanda




3 2 Warm Up Solve The System Graphically 4x 2y 8 X Y 1 5 4 3 2 5 4 3 2 X 2y 8 4x 2y 4x 8 Y 2x 4 X Ppt Download




Draw The Graph Of The Equation X Y 1 And 2x Y 8 Shade The Area Bounded By These Two Lines And The Maths Pair Of Linear Equations In Two Variables Meritnation Com




3x Y 2 0 And 2x Y 8 Problem Set 1 Q3 4 Of Linear Equations In Two Variables Algebra Youtube




X Y 4 2x 5y 1 Maths Questions




Consider The Family Of Lines X Y 1 Lamda 2x 3y 5 0 And 3x 2y 4 Mu X 2y 6 0 Equation Of A Line That Belongs To Both The Family Is A X 2y 8 0 B X 2y 8 0 C 2x Y 8 0 D 2x Y 8 0




Graph Graph Inequalities With Step By Step Math Problem Solver




Example 15 Chapter 6 Solve X 2y 8 2x Y 8




Solve The Pair Of Equations X 2y 9 And 2x Y 8 By Graphical Method Plzzz Ans Me Brainly In




The Graphing Method Topic Ppt Video Online Download




Rd Sharma Class 10 Solutions Maths Chapter 3 Pair Of Linear Equations In Two Variables Exercise 3 2




Review Topics Ch R 1 In College Algebra




3 Y 8 Cheap Online




In The Following Shaded Region The Linear Constraints Class 11 Maths Cbse




Ex 6 3 7 Solve 2x Y 8 X 2y 10 Graphically Ex 6 3




Solve Graphically The Pair Of Linear Equation 2x Y 8 And X 1 2y Find The Coordinate Of Vertices Of The Brainly In




Solve Graphically The Equations 2x Y 1 X 2y 8



At Which Point Will The Graphs Of The Equations 2x Y 8 And X Y 4 Intersect Mathskey Com




Solving System Of Linear Equations Ppt Download




2x Y 11 X Y 8 Solve 2x Y 11 X Y 8 Solve Josspixc3au




最も人気のある 3x Y 2 2x Y 8 3x Y 3 2x 3y 2 X 2y 8




Solve The System Of Equations Graphically 3x Y 1 0 2x 3y 8 0 Mathematics Shaalaa Com




How Do You Solve Y 2x 1 And Y X 2 Socratic




Draw The Graph Of The Lines X Y 1 And 2x Y 8 Shade The Region Formed By These Two Lines And The Maths Linear Equations In Two Variables Meritnation Com




Solve For Y For Each 1 2x Y 9 2 X Y 2y 4 3x 4 2 Y X 5 7x Y 8 6 3y 1 3x 2x 2x Ppt Video Online Download




Solve 3 2x Y 8 X 2y 3 12 X 2y 6 2x Y 1 Brainly In



Solve The Following Simultaneous Equations Graphically I 3x Y 2 0 2x Y 8 Ii 3x Y 10 X Y 2 Sarthaks Econnect Largest Online Education Community




How Do You Solve The System 7x 3y 25 And 2x Y 8 Socratic



2x Y 8 X Y 5 Graphically




Eeuations 1 2x Y 8 3x Y 17 3 A 2b 13 2a 3b 5 5 4x Gauthmath




Solve Graphically The Equation 2x Y 8 And X 2y 7 Brainly In




Ex 6 3 7 Solve 2x Y 8 X 2y 10 Graphically Ex 6 3




If A Find A 1 Hence Solve The System Of Equations X 2y 10




Answered X Y 2 2x 3y 9 Sx Y 2 6 Y 8 2 Bartleby




Example 28 Solve By Matrix Method 3x 2y 3z 8 2x Y Z 1 Examples




Beginarrayl 2x Y 8 3x 2y 5endarray Beginar Gauthmath




Ppt Simultaneous Equations Powerpoint Presentation Free Download Id




Solve The Following Pairs Of Simultaneous Equations Chegg Com




Ex 3 2 8 Find X If Y 3 2 1 4 2x Y 1 0 3 2




Kakie Iz Funkcij Y 1 X 8 Y 8x 1 Y X 38 Y 8 X Y 2x 8 2 Y 8 Y X 3 8 Yavlyayutsya Linejnymi Shkolnye Znaniya Com




How Do You Solve The System X 2y 4 And 2x Y 8 By Substitution Socratic



For The Equation 2x Y 8 If Y 6 Then X 1 Chegg Com




Solve The Equation 1 2x 1 Y 1 1 X 1 2y 8 Brainly In



Solve For X And Y X 1 2 Y 1 3 9 X 1 3 Y 1 2 8 Sarthaks Econnect Largest Online Education Community




Solve For Y Intermv Of X 1 2 X Y 8 2 X Y Gauthmath




Solve The Following System Of Linear Equations Of Graphically X Y 1 2x Y 8 Brainly In




Chapter 9 Systems Of Linear Equations Pdf Free Download




Graphical Solution Of Simultaneous Equations Ppt Download




Enm 503 Modeling Linear Systems With Graphs 1




Solve For X And Y 2 X 3 3 Y 1 8 3 X 2 2 Y 2 3 Youtube




Algebra Solving Linear Equations By Using The Graphing Method 1 2 Youtube




Lecture 6 1 6 2 Bt




3 2 Warm Up Solve The System Graphically 4x 2y 8 X Y 1 5 4 3 2 5 4 3 2 X 2y 8 4x 2y 4x 8 Y 2x 4 X Ppt Download



By Rotating Tle Tegi The Solid Obtained Curves About Chegg Com




Solve X Y 1 And 2x Y 8 Graph Mathematics Topperlearning Com 4q3fx13uu




Engineering Mathematics Notes




How Do You Find The Volume Of The Solid Generated By Revolving The Region Bounded By The Graphs Y 2x 2 Y 0 X 2 About The X Axis Y Axis The Line Y 8 The Line X 2



Graph Each Inequality X 2y Lessthanorequalto 8 Chegg Com




12 Cbse Maths 14 Solution Set 1




Ex 6 3 7 Solve 2x Y 8 X 2y 10 Graphically Ex 6 3



Www Topperlearning Com Study Maharashtra Class 6 Mathematics Text Book Solutions R S Aggarwal And V Aggarwal Mathematics X 611 Linear Equations In Two Variables 3423 B144c5s3e9




Solve Graphically The Pair Of Linear Equations 2x Y 8 And X 1 2y Brainly In




Solve Graphically The Following Pair Of Equations X Y 1 2x Y 8 Shade The Area Bounded By These Lines And The Y Axis




Solve 7 X 8 Y 2 2 X 12 Y By Substitution Method Mathematics Topperlearning Com X4anmzhh




R D Sharma Class 10 Solutions Maths Chapter 3 Pair Of Linear Equations In Two Variables Exercise 3 2



Solution How Do You Solve Each System By Graphing 5 2x 2y 4 And Y X 6 6 3x Y 5 And X Y 7 7 5x Y 9 And X 3y 21 8 Y X And Y 5x 0 9 X 10 And X Y 10
0 件のコメント:
コメントを投稿